사원수 : Quaternion (쿼터니언)
- 회전을 표현할 떄, 행렬 대신 사용하는 수학적 개념
- 회전 표현을 실수 4개의 값으로 이루어진 복소수 체계이다. (실수부 1개+허수부 3개)로 표시한 것
- 짐벌락 문제를 방지 할수가 있다
- 짐벌락 문제를 방지 할수가 있다

사원수 정의
- 사원수는 4차원 복소수 공간의 벡터로서 다음과 같이 나타낸다.
- q = = w+xi+yj+zk = s+v = (s,v) = [w,(x,y,z)]
- q= s + v , q : w성분에 해당하는 스칼라값, v는 q의x,y,z 성분에 해당하는 벡터부분이다. v(xyz)
사원수 특징
- 허수성분인 i,j,k는 다음과 같은 특징을 갖는다.
- ij = -ji = k
- jk = -kj = i
- ki = -ik = j

단위 쿼터니언 : w2+x2+y2+z2=1w2+x2+y2+z2=1
순수 사원수
- q = xi + yj +zk ,(w=0) =(0,v)
켤레 사원수
- 공액 사원수라고도하며, 허수부의 부호를 뒤집은 사원수를 말함

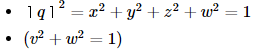
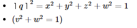
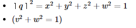
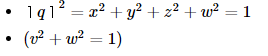
단위 사원수

사원수 덧셈
사원수 뺼셈
사원수 곱셈
사원수 회전
오일러의 공식
'수학' 카테고리의 다른 글
| 게임수학 개요 (0) | 2021.05.25 |
|---|---|
| 지수,로그 + 지수함수,로그함수 (0) | 2019.06.04 |
| 사원수 회전을 행렬로 (0) | 2019.05.01 |
| 행렬 (0) | 2019.05.01 |
| 벡터 (0) | 2019.05.01 |




