1. 트리의 개요
트리는 계층적 관계(Hierarchical Relationship)를 표현하는 자료구조이다


※ 트리는 단순한 데이터의 저장을 넘어서 데이터의 표현을 위한 도구이다
▣ 트리 관련 용어

∙ 노드
node 트리의 구성요소에 해당하는 A, B, C, D, E, F와 같은 요소
∙ 간선 (edge)
노드와 노드를 연결하는 연결선
∙ 루트 노드 (root node )
트리 구조에서 최상위에 존재하는 A와 같은 노드
∙ 단말 노드 (terminal node)
아래로 또 다른 노드가 연결되어 있지 않은 E, F, C, D와 같은 노드
∙ 내부 노드 (internal node)
단말 노드를 제외한 모든 노드로 A, B와 같은 노드
▣ 트리의 노드간 관계

∙ 노드 A는 노드 B, C, D의 부모 노드(parent node)이다.
∙ 노드 B, C, D는 노드 A의 자식 노드(child node)이다.
∙ 노드 B, C, D는 부모 노드가 같으므로, 서로가 서로에게 형제 노드(sibling node)이다.
▣ 서브 트리의 이해

하나의 트리를 구성하는 왼쪽과 오른쪽의 작은 트리를 가리켜 서브 트리라 한다

서브 트리 역시 또 다른 서브 트리를 갖는다
서브 트리 역시 서브 트리로 이뤄져 있으며,
그 서브 트리 역시 또 다른 서브 트리로 이뤄져 있다.
이렇듯 트리는 그 구조가 재귀적이다!
▣ 이진 트리의 이해
▶ 이진 트리의 조건
∙ 루트 노드를 중심으로 두 개의 서브 트리로 나뉘어진다.
∙ 나뉘어진 두 서브 트리도 모두 이진 트리이어야 한다.

트리 그리고 이진 트리는 그 구조가 재귀적이다.
따라서 트리와 관련된 연산은 재귀적으로 사고하고 재귀적으로 구현할 필요가 있다
▣ 이진 트리와 공집합 노드


공집합(empty set)도 이진 트리에서는 노드로 간주한다!
하나의 노드에 두 개의 노드가 달리는 형태의 트리는 모두 이진 트리이다
▣ 레벨과 높이, 그리고 포화, 완전 이진 트리

트리의 높이와 레벨의 최대 값은 같다

모든 레벨에 노드가 꽉 찬
포화 이진 트리

빈 틈 없이 차곡차곡 채워진
완전 이진 트리
※ 완전 이진 트리는 위에서 아래로 왼쪽에서 오른쪽으로 채워진 트리를 의미한다.
따라서 포화 이진 트리는 동시에 완전 이진 트리이지만 그 역은 성립하지 않는다.
2. 이진 트리의 구현
▣ 이진 트리 구현의 두 가지 방법

∙ 노드에 번호를 부여하고 그 번호에 해당하는 값을 배열의 인덱스 값으로 활용한다.
∙ 편의상 배열의 첫 번째 요소는 사용하지 않는다.

∙ 연결 리스트 기반에서는 트리의 구조와 리 스트의 연결 구조가 일치한다.
∙ 따라서 구현과 관련된 직관적인 이해가 더 좋은 편이다.
▣ ADT

이진 트리의 모든 노드는 직/간접적으로 연결되어 있다.
따라서 루트 노드의 주소 값만 기억하면, 이진 트리 전체 를 가리키는 것과 다름이 없다.

논리적으로도 하나의 노드는 그 자체로 이진 트리이다.
따라서 노드를 표현한 구조체는 실 제로 이진 트리를 표현한 구조체가 된다.
//노드 생성
BTreeNode* MakeBTreeNode()
{
BTreeNode* ne = new BTreeNode();
ne->left = NULL;
ne->right = NULL;
return ne;
}
BTData GetData(BTreeNode* bt)
{
bt->data;
}
//노드에 데이터를 저장
void SetData(BTreeNode* bt, BTData data)
{
bt->data = data;
}
//왼쪽 서브트리의 주소값 반환
BTreeNode* GetLeftSubTree(BTreeNode* bt)
{
return bt->left;
}
//오른쪽 서브트리의 주소값 반환
BTreeNode* GetRightSubTree(BTreeNode* bt)
{
return bt->right;
}
//main 왼쫀 서브트리로 sub 연결
void MakeLeftSubTree(BTreeNode* main, BTreeNode* sub)
{
if (main->left != NULL)
delete main->left;
main->left = sub;
}
//main 오른쪽 서브트리로 sub 연결
void MakeRightSubTree(BTreeNode* main, BTreeNode* sub)
{
if (main->right != NULL)
delete main->right;
main->right = sub;
}
int main()
{
BTreeNode * ndA = MakeBTreeNode();
BTreeNode * ndB = MakeBTreeNode();
BTreeNode * ndC = MakeBTreeNode();
MakeLeftSubTree(ndA, ndB);
MakeRightSubTree(ndA, ndC);
return 0;
}

int main()
{
BTreeNode * bt1 = MakeBTreeNode();
BTreeNode * bt2 = MakeBTreeNode();
BTreeNode * bt3 = MakeBTreeNode();
BTreeNode * bt4 = MakeBTreeNode();
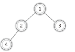
SetData(bt1, 1);
SetData(bt2, 2);
SetData(bt3, 3);
SetData(bt4, 4);
MakeLeftSubTree(bt1, bt2);
MakeRightSubTree(bt1, bt3);
MakeLeftSubTree(bt2, bt4);
return 0;
}

3. 이진 트리의 순회(Traversal)
기준은 루트 노드를 언제 방문하느냐에 있다
루트 노드를 방문하는 시점에 따라서 중위, 후위, 전위 순회로 나뉘어 진다.



▣ 순회의 재귀적 표현


▣ 순회의 재귀적 표현 완성
void InorderTraverse(BTreeNode* bt)
{
if (bt == NULL) //NULL 이면 재귀 탈출
return;
InorderTraverse(bt->left);
cout << bt->data << "\n";
InorderTraverse(bt->right);
}

노드가 단말 노드인 경우, 단말 노드의 자식 노드는 NULL이다!
int main()
{
BTreeNode * bt1 = MakeBTreeNode();
BTreeNode * bt2 = MakeBTreeNode();
BTreeNode * bt3 = MakeBTreeNode();
BTreeNode * bt4 = MakeBTreeNode();
SetData(bt1, 1);
SetData(bt2, 2);
SetData(bt3, 3);
SetData(bt4, 4);
MakeLeftSubTree(bt1, bt2);
MakeRightSubTree(bt1, bt3);
MakeLeftSubTree(bt2, bt4);
InorderTraverse(bt1); //재귀 적트로 트리를 순회하면서, 값을 출력
return 0;
}
▣ 준위 순회와 후위 순회

void InorderTraverse(BTreeNode* bt)
{
if (bt == NULL) return;
InorderTraverse(bt->left);
cout << bt->data << "\n"; // 중위순회
InorderTraverse(bt->right);
}

void InorderTraverse(BTreeNode* bt)
{
if (bt == NULL) return;
cout << bt->data << "\n"; //전위순회
InorderTraverse(bt->left);
InorderTraverse(bt->right);
}

void InorderTraverse(BTreeNode* bt)
{
if (bt == NULL) return;
InorderTraverse(bt->left);
InorderTraverse(bt->right);
cout << bt->data << "\n"; //후위 순회
}
▣ 노드의 방문 이유! 자유롭게 구성하기
함수포인터를 이용하여, 추가 함수 기능 구현
//함수 포인터 형 VisitFuncPtr의 정의
typedef void VisitFuncPtr(BTData data);
//Funcptr이 가리키는 함수를 통해서 방문을 진행
void InorderTraverse(BTreeNode* bt, VisitFuncPtr Funcptr)
{
if (bt == NULL) return;
InorderTraverse(bt->left, Funcptr);
Funcptr(bt->data);
InorderTraverse(bt->right, Funcptr);
}
//VisitFuncPtr형을 기준으로 정의된 함수
void ShowData(int data)
{
cout << data << " \n";
}
int main()
{
BTreeNode * bt1 = MakeBTreeNode();
BTreeNode * bt2 = MakeBTreeNode();
BTreeNode * bt3 = MakeBTreeNode();
BTreeNode * bt4 = MakeBTreeNode();
SetData(bt1, 1);
SetData(bt2, 2);
SetData(bt3, 3);
SetData(bt4, 4);
MakeLeftSubTree(bt1, bt2);
MakeRightSubTree(bt1, bt3);
MakeLeftSubTree(bt2, bt4);
//InorderTraverse(bt1);
InorderTraverse(bt1,ShowData);
return 0;
}'프로그래밍 > 자료구조' 카테고리의 다른 글
| 9. 우선순위 큐와 힙 (0) | 2019.06.13 |
|---|---|
| 7. 큐 (Queue) (0) | 2019.06.10 |
| 6. 스택(Stack) (0) | 2019.06.07 |
| 5. 원형 연결 리스트 3 (원형 + 양방향) (0) | 2019.06.06 |
| 4. 연결 리스트 2 (연결리스트 + 더미노드 + 정렬삽입) (0) | 2019.06.05 |